全世界最长的10条河流,长江排名第三,第一名全长6650公里
2026-03-23 22:22:10
世界那么大,猫这么多的地方就几个?!
比如黑龙江密山进村的东北虎、杭州出逃的豹子、山西中阳县后备箱发现的豹子尸体等,都是某一时期的热点事件。
今天要说的“热点”,是另外一个概念:野生猫科动物热点。
感谢猫盟翻译组对本文的贡献:
翻译|赵雨梦关希源
审校|秦卓敏
当需要保护的物种超过了现有的保护资源怎么办?当我们没有足够的能力保护所有受到威胁的物种怎么办?如何分配保护资源、对区域进行排序、最大化保护价值?
物种多样性、景观多样性、基因多样性、独特性、脆弱程度……都是保护规划评估的重要方面,是对保护区域进行优先排序的参考指标。
生物多样性热点地区(Biopersity Hotspots)是以物种多样性和地方特有性(endemism)为标准的热点识别方法,全球共有36个,我国的西南山地就是其中之一。

世界生物多样性热点区域图源网络
而一个猫科动物多样性比较高的区域,可以被称为猫科动物热点。
中国猫科动物热点:四川新龙
在西南山地中,有一片这样的土地,有着丰富的猫科动物物种——四川新龙。
2016年9月,猫盟与四川省新龙县环保和林业局合作,在新龙县进行了红外相机调查,以了解当地猫科动物多样性与分布情况。

新龙的调查区域©刘大牛
我们将这次调查的结果发表在了CATnews期刊上,标题为:
Xinlong county of Ganzi, Sichuan,a newly discovered felid hotspot in South-west China。

文章发表于CATnews,给一晴加鸡腿
论文原文请戳“阅读原文”
新龙县隶属四川甘孜藏族自治州,地处西南横断山区腹地,全境多高山峡谷,地形陡峭。海拔高差悬殊,气候垂直变化明显,植被类型多样。
丰富的生境多样性,孕育了7种野生猫科动物:豹、雪豹、欧亚猞猁、亚洲金猫、荒漠猫、豹猫、兔狲——是近年来在中国记录到现存野生猫科物种最多的地区。
其中,豹、雪豹、亚洲金猫、荒漠猫为中国国家一级保护物种;欧亚猞猁、兔狲为国家二级保护物种。

新龙的七种猫
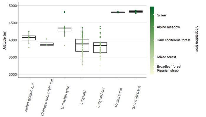
豹是这里最优势的猫科物种,豹猫是记录次数最多的小型猫科动物。它们主要分布于4300m以下的落叶阔叶林、针叶林和混交林;在4400m以上的灌丛和高山草甸中,也偶有它们的身影。
雪豹与兔狲是两个“高海拔居民”。它们对栖息地的选择非常挑剔,仅出现在海拔4700m以上的高山草甸-流石滩地带。
在监测期间,我们还有幸记录到3只小雪豹的成长。它们在2016年冬天离开了妈妈开始独立生活。

三只雪豹,你能找到吗?©熊吉吉
亚洲金猫主要分布在海拔4000m左右的针叶林。
欧亚猞猁有较强的适应性,广泛分布在海拔3800-4800m之间的各种栖息地,包括森林、灌丛、高山草甸等。
荒漠猫是新龙县乃至四川省甘孜州的的首次记录,它主要在3800-4100m的针叶林中活动。

新龙县7种猫动物海拔与生境类型分布©一晴
在这次调查中,我们也有一些意料之外的发现。
豹猫出现在了海拔约4400m的高山草甸——这种被认为更像是荒漠猫和兔狲的典型生境中。同域出现的其他动物还有,喜马拉雅旱獭、狗獾、马鹿、狼、赤狐等。
而荒漠猫,则出现在了峡谷中的混交林里。这是一种季节性分布特征,还是稳定的分布现象?有待我们进一步探究。
在新龙记录到荒漠猫之后不久,新龙西北方向的石渠县和东南方向的贡嘎山也陆续记录到荒漠猫的存在。这使得这种中国特有的猫科动物的分布向南扩展了数百公里。

高海拔居民兔狲
新龙是一个奇特的地方,这里既有以水鹿、豹、黄喉貂为代表的森林居民,也有以岩羊、雪豹、藏原羚为代表的高原物种,形成了种类繁多的野生动物群落。
除了豹、雪豹、欧亚猞猁、亚洲金猫等四种大中型猫科动物外,还有亚洲黑熊、棕熊、狼等几种大型食肉动物在这里生存。
我们共识别出野生兽类38种。其中,食肉目5科18种,有蹄类4科11种。

经幡旁的岩羊©大猫
狼,是猫科物种有力的竞争者。它是我们记录到的分布最广、拍摄次数最多的大型食肉动物,远高于猫科中最优势的豹,其活动范围甚至几乎覆盖了所有猫科物种的活动区域。
但根据目前新龙有蹄类物种的丰富度来看,猎物的数量足以维持多种捕食者的共存。

狼就生活在牧场边上
丰富的栖息地异质性和区域气候,加之藏民信奉佛教、敬畏生命与土地、忌杀生,创造了良好的土壤,保护了当地生态系统的完整性,彰显出无可取代的荒野魅力。
阿根廷猫科动物热点:永加斯
说完了我国的猫科动物热点,我们再放眼南半球,在遥远的阿根廷,也有一个猫科动物热点。
由于纬度范围广,海拔梯度大,阿根廷有着多样的气候和生物群落,这让几乎所有南美猫科动物都在阿根廷出没。
虎猫、长尾虎猫、小斑虎猫和细腰猫通常栖息在热带雨林,后者也占据其他更干燥和更开放的栖息地。
南美林猫喜欢温带森林;乔氏猫经常出没于草原和干旱森林;草原上住着南美草原猫;安第斯山猫则偏爱高海拔沙漠。
此外还有两种体型较大的广幅种:美洲豹和美洲狮。

爬树最厉害的长尾虎猫 图源《世界野生猫科动物》
小区域的猫科动物热点,当属阿根廷西北部的永加斯生物圈。
科学家在那里进行了调查,记录到该地区7种猫科动物中的6种。
红外相机拍摄到了长尾虎猫、虎猫、乔氏猫。乔氏猫是唯一在种植园区域活动的猫科动物。美洲狮、长尾虎猫仅在森林出没,未在河岸森林廊道记录到。
在位于森林和廊道的监测点拍到虎猫、小斑虎猫——它们充分利用了廊道。而细腰猫仅在河岸森林廊道中被发现。
在这次调查中,较为罕见的美洲豹没有被拍摄到,但已有报道证实此地有美洲豹存在。
此外,在卡利雷圭国家公园附近也发现了美洲豹,它与这个研究区域有足够的地域连通性。

在永加斯记录到的6种猫科动物 图源《The Yungas Biosphere Reserve of Argentina: a hot spot of South American wild cats》
永加斯生物圈保护区的多雾山地草原构成了另一种野生猫科动物——南美草原猫的自然栖息地。
这个保护区还有另一种猫科动物记录——安第斯山猫。
这种珍稀濒危物种在这里的种群状况尚不清楚,但可以肯定的是,但如果管理得当,对安第斯山猫的保护有一定的贡献。

安第斯山猫 图源《世界野生猫科动物》
调查区域内的莱德斯马私人田产是一处“产地生态保护区”(Protected Productive Landscapes,PPL)。
该地区包括大部分山前森林(约1000平方公里),周围主要是甘蔗、柑橘种植园(总计约500平方公里)。
该区域被河流与河岸森林贯穿,构成了自然走廊。
横贯种植园的河岸森林为至少三种猫科动物(虎猫、小斑虎猫、细腰猫)的移动提供了便利。

小斑虎猫 图源《世界野生猫科动物》
像莱德斯马PPL这样的生产性生态系统,既有有专门的集约化农业区,也包含大量受到良好保护并具有连通性的自然栖息地。
在人与动物共存的区域,这种既有农业生产,又能通过廊道连接动物自然栖息地,保持森林不受损伤的模式,是猫科动物和生物多样性保护极具参考价值的方案。
世界上还有哪些猫科动物王国
物种的分布往往是不均匀的——在热带和亚热带地区,物种的多样性更高。全球40种野生猫科动物的分布亦是如此。
除我国的西南山地和阿根廷的永加斯之外,全球范围内还有以下猫科动物热点:
1. 不丹皇家玛纳斯公园,在74平方公里的区域内记录到6种猫科动物。
2. 印度阿萨姆邦的森林,至少有6种猫科动物繁衍生息。
3. 尼泊尔中部丘陵和山区,7种猫科动物在那里出没。
4. 达纳德林达依河景观,覆盖了泰国和缅甸6.3万多平方公里的土地,是7种猫科动物的家园。

达纳德林达依河景观记录到的猫科动物 图源《Dawna Tenasserim :Land of Cats》
物种多样性是生态系统稳定性和功能多样性的重要基础。物种集中分布的区域往往有着更复杂的生境类型、发挥着更多的生态功能。
这些区域一旦受到灾害或人为干扰的威胁,对生态和保护价值的损失将极为惨重。
有数据就表明,1800年以来,近80%的鸟类灭绝发生在热点区域。
在物种大规模灭绝的人类世(Anthropocene),聚焦热点区域,是指导保护行动的有效方式。
感谢四川省林草局、新龙县林草局和UNDP的支持与帮助。感谢北大罗述金老师在论文撰写过程中的指导。
2026-03-23 22:22:10
2026-03-23 22:20:06
2026-03-23 07:14:20
2026-03-23 07:12:15
2026-03-23 07:10:11
2026-03-23 07:08:07
2026-03-23 07:06:03
2026-03-23 07:03:58
2026-03-23 07:01:54
2026-03-23 06:59:50
2026-03-23 06:57:45
2026-03-23 06:55:41
2026-03-22 08:31:31
2026-03-22 08:29:27
2026-03-22 08:27:22
2026-03-22 08:25:18
2026-03-22 08:23:14
2026-03-22 08:21:10
2026-03-22 08:19:05
2026-03-22 08:17:01