王宠草书风格特点及邅变探析
2026-03-04 16:51:28
滇重楼化学成分、药理作用和临床应用研究进展


滇重楼为百合科重楼属植物云南重楼Paris polyphylla Smith var. yunnanensis (Fr.) Hand.-Mazz.的干燥根茎,是《中国药典》2020年版重楼的基原植物之一,性微寒,味苦,归肝经,具有清热解毒、消肿止痛、凉肝定惊功效,主要用于疔疮痈肿、咽喉肿痛、毒蛇咬伤、跌扑伤痛、惊风抽搐[1]。现代研究发现,滇重楼主要化学成分为甾体皂苷、黄酮、三萜和多糖等[2],目前以重楼或其提取物生产的中成药及保健品多达近百种,如宫血宁胶囊、抗病毒颗粒、季德胜蛇药片等,临床上广泛用于疔疮痈肿、蛇虫咬伤和咽喉肿痛等疾病的治疗[3]。
近年来,随着现代技术的发展,有关滇重楼的研究不断深入,当前已有学者对滇重楼的化学成分、药理作用、质量控制等进行了研究[4-5],此外,何俊等[6]、邓子超等[7]、谈文状等[8]对滇重楼相关研究进行了综述。但是临床应用及药理作用总结不全面,且尚未见相关作用机制的系统报道,限制了滇重楼临床应用和后续开发利用。鉴于此,本文对滇重楼的化学成分、药理作用和临床应用及机制进行系统总结,以期为滇重楼资源的开发及临床合理应用提供参考。
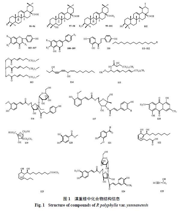
滇重楼化学成分多样,目前已分离鉴定了100多个化合物,包括甾体皂苷(1~72)、C21甾体(73~78)、甾醇(79~81)、蜕皮激素(82~83)、五环三萜(84~102)、黄酮(103~109)和其他(110~125)成分。结构见图1。


甾体皂苷是滇重楼中的主要成分,目前已从滇重楼中分离得到72种甾体皂苷,主要以异螺甾烷醇型化合物为主,皂苷元为薯蓣皂苷元和偏诺皂苷元[9-27],此类化合物中的重楼皂苷I、II、VI、VII被《中国药典》2020年版作为质量控制指标;此外,还分离得到少数的螺甾烷醇型[11,14]、呋甾烷醇型[11,25,28]和变型螺甾烷醇型甾体皂苷[25,28-29]。
C21甾体类化合物是一类含有21个碳原子的甾体衍生物,其苷元为孕甾烷或其异构体[30]。近年来,陈昌祥等[17]从滇重楼的茎叶中分离鉴定获得6个C21甾体化合物,包括2个孕甾烷类皂苷和4个C22-甾类内酯皂苷[11,20,29,31]。
黄酮类化合物是一类存在于多种植物中的多酚化合物[32]。目前已从滇重楼中分离得到6个黄酮类化合物,其主要类型为黄酮醇类,苷元为山柰酚和异鼠李素[25,29,33-35]。
目前已从滇重楼中分离获得13个五环三萜类化合物[36-38],其母核为齐墩果烷型。
除以上报道的化学成分外,滇重楼中还分离获得多糖、氨基酸、微量元素、β-蜕皮激素和脂肪酸类等成分[18,25,33,34,39-42]。申世安[43]、吴霞等[44]从滇重楼中分离获得2个均一多糖(PPLP、PPRP),其结构为以(1,6)-β-D-Galp为主链的阿拉伯半乳聚糖。杨芳等[45]从滇重楼中分离获得18种氨基酸。杨敏等[42]研究发现滇重楼中含有钾、钠、锌、钙、镁等14种微量元素。此外,Jenett-Siems等[39]从滇重楼中分离得到了β-蜕皮激素(82);吴霞等[44]从滇重楼中分离得到2个脂肪酸类成分,分别为(8R*,9R*,10S*,6Z)
-trihydroxyoctadec-6-enoic acid(121)和methyl (9S,10R,11S)-trihydroxy-12(Z)-octadecenoate(122)。
抗肿瘤领域的相关研究是滇重楼药效研究的热点。目前主要集中在皂苷类成分的抗肿瘤及其作用机制,研究发现其对肝癌、肺癌、卵巢癌、膀胱癌、结肠癌、涎腺腺样囊性癌、神经胶质瘤、黑色素瘤、前列腺癌、胃癌、乳腺癌、骨肉瘤、食管癌、宫颈癌、胰腺癌、舌鳞癌、喉癌、鼻咽癌、白血病等多种肿瘤细胞具有抑制作用;作用机制主要为抑制肿瘤细胞增殖、诱导肿瘤细胞凋亡或阻碍细胞生长周期等;作用通道主要有蛋白激酶B(Akt)/核因子-κB(NF-κB)、磷脂酰肌醇-3-激酶(PI3K)/Akt/雷帕霉素靶分子(mTOR)和丝裂原活化蛋白激酶(MAPK)/Akt等通路,相关药理作用及机制见表2。


炎症和许多疾病如癌症、糖尿病等的发生密切相关[104]。研究表明,滇重楼中的甾体皂苷、蜕皮甾酮及提取物均具有抗炎作用。如张媛等[105]、肖杨等[106]发现重楼皂苷I、VI、VII、H和总皂苷具有较好的抗炎作用。研究发现滇重楼所含的蜕皮甾酮具有抗炎作用,其机制为抑制NF-κB和MAPK通路活化,改善HaCaT中因肿瘤坏死因子-α(TNF-α)刺激后产生的炎症[107]。
通过进一步的研究,Huang等[108]发现重楼皂苷I通过改变凋亡标志物半胱氨酸天冬氨酸蛋白酶-3(Caspase-3)、B淋巴细胞瘤2(Bcl-2)、Bcl-2相关X蛋白(Bax);炎性细胞因子TNF-α、白细胞介素-6(IL-6)、诱导型一氧化氮合酶(iNOS)、IL-10;氧化应激标记物的表达,抑制核蛋白NF-κB p65的磷酸化活性,从而减轻心肌缺血和再灌注损伤形成的炎症;
Zhang等[109]采用酶联免疫吸附剂测定法,研究重楼皂苷VII对脂多糖诱导RAW264.7细胞释放炎症因子的影响,揭示了重楼皂苷VII通过NF-κB和MAPKs途径,降低一氧化氮和前列腺素E2(PGE2)的产生,抑制炎性细胞因子(TNF-α、IL-1β和IL-6)和酶(iNOS、环氧合酶-2、MMP-9)蛋白及mRNA表达;且研究发现重楼皂苷VII具有抑制二甲苯诱导的小鼠耳水肿和棉球诱导的肉芽肿形成作用,并可抑制脂多糖和CuSO4诱导的斑马鱼胚胎肿胀。
陆俊锟[110]、董玮等[111]研究表明滇重楼巴布剂下调炎症因子IL-1β与Toll样受体4的表达,从而减轻大鼠急性痛风性关节炎症反应;此外,熊伟等[112-113]利用大鼠肠黏膜功能障碍模型,探讨滇重楼与全身炎症反应的相关性,发现模型组大鼠与对照组比较,其全血中肌酸激酶、凝血酶和血尿素氮含量升高,动脉血二氧化碳含量下降,大鼠存活率及小肠推进率显著下降,其机制为通过下调晚期炎症因子HMGB1表达,抑制全身炎症反应,从而改善肠黏膜屏障通透性,发挥抗炎保护作用。
疼痛是临床上许多疾病较常见的症状[114]。刘江等[114]、王强等[115]分别对多种重楼提取物的镇痛效果进行了研究,发现滇重楼的镇痛效果最好。多位学者研究发现重楼皂苷I、VI和醇提物可抑制醋酸所致小鼠扭体反应,其机制为延长痛阈潜伏期、提高痛阈值[105-116],且镇痛效果比总皂苷强;亦有研究表明,滇重楼的地上部分、果实和根茎中的总皂苷,对醋酸所致小鼠扭体反应的镇痛效果无明显差异[117]。
此外,徐海伟等[118-119]研究发现重楼皂苷在吗啡急性耐受形成后,可能有增强吗啡镇痛的作用,其机制可能为通过影响脑内促肾上腺皮质激素和β-内啡呔等因素影响耐受形成。在镇静作用方面,研究发现滇重楼皂苷可抑制下丘脑内促肾上腺皮质激素水平,具有镇静镇痛作用,且作用强度不低于安定[118];滇重楼还可与巴比妥钠发挥镇痛协同作用,缩短小鼠入睡时间,延长睡眠时间[120]。
滇重楼抗菌作用已有大量报道,研究显示滇重楼甲醇提取物可抑制宋内氏痢疾杆菌、粘质沙雷氏菌、大肠杆菌、金黄色葡萄球菌[121];乙醇提取物对痤疮丙酸杆菌、表皮葡萄球菌、金黄色葡萄球菌、部分革兰阳性球菌、阴性杆菌和柑桔链格孢菌、褐腐疫霉菌、炭疽菌等均具有良好的抑制作用[122-125];正丁醇提取物可抑制白色念珠菌[126],并可抑制白色念珠菌生物膜形成,降低生物膜厚度,下调HWP1、MP65、SUN41基因表达量;醋酸乙酯提取物对肺炎克雷伯氏菌,枯草芽孢杆菌,大肠杆菌等菌种也具有一定的抑菌活性[72]。
亦有研究发现,滇重楼水提液对口腔中常见病原菌的生长具有抑制作用[127],且对牙菌斑生物膜中的变异链球菌、血链球菌、嗜酸乳杆菌具有抑制作用[128]。有关滇重楼的抗病毒作用,目前已报道的主要为其皂苷和多糖类成分等。蒲秀瑛等研究发现重楼皂苷II、VI和VII在体外具有较好的抗A型流感病毒(IAV)活性,重楼皂苷I在体内外均具有较好的抗IAV活性,可明显降低IAV感染小鼠的死亡率[129]。石小枫等发现,滇重楼醇提物对多种病毒有效在试管内有杀灭钩端螺旋体病毒作用;鸡胚接种法表明滇重楼水或醇提取物对甲型及亚洲甲型流感病毒均有抑制作用[130];此外,用重楼提取液滴鼻小鼠,5 h后接种病毒,小鼠死亡率降低;滇重楼水煎剂治疗乙肝病毒可降低谷丙转氨酶、总胆红素等指标[131]。
血液凝固是多种凝血因子参与酶促反应作用的结果[132]。王强等[121]、罗刚等[133]研究发现,滇重楼所含的重楼皂苷C具有显著的止血作用,其机制可能为诱导血管收缩,降低毛细血管通透性,缩短血浆凝血和复钙时间。卜伟等[117]发现滇重楼不同部位的总皂苷提取物,能明显缩短小鼠尾尖的出血时间,且根茎止血效果强于茎叶和果实。刘江[114]、张海珠等[134]比较了7种重楼药材提取物的止血药效果,发现滇重楼组小鼠出血时间和凝血时间均最短;此外,丛悦等[135]、付亚莉等[136]研究表明重楼皂苷H和甾体总皂苷可诱导血小板聚集,其聚集过程中依赖于血小板激活后ADP的释放和TXA2的生成[135]。
滇重楼的免疫调节主要表现为免疫增强[6,137]。李春江等[138]研究发现,重楼皂苷可提高荷瘤裸鼠的胸腺指数,其机制为偏移T细胞平衡,降低血清TNF-α表达水平。研究发现重楼皂苷II可抑制狼疮性肾炎局部免疫反应,调节T细胞TGF-β、IL-10蛋白的表达量,诱导调节细胞自噬、凋亡[139];亦可上调Bax/Bcl-2水平,减少细胞外基质堆积,从而诱导肾小球系膜细胞凋亡或抑制其异常增殖[140]。
此外,刘功成[141]研究表明,重楼多糖可调节小鼠脾脏指数,增强脾脏免疫功能,其机制为提高GATA-3、T-bet、IL-2、IL-10等免疫相关基因mRNA表达水平;研究表明滇重楼所含C21甾体苷也有调节免疫等作用[142],能够阻止T、B淋巴细胞以及脾细胞的增殖,诱导已活化的淋巴细胞凋亡[143-145];重楼复方制剂可调节机体免疫功能,提高小鼠体内细胞毒性T淋巴细胞的活性[146]。
滇重楼中的皂苷、多糖和黄酮等具有丰富酚羟基,是极具潜力的天然抗氧化剂。众多研究发现滇重楼所含的总皂苷和多糖,对超氧阴离子、羟基、DPPH等自由基具有较强的清除能力[147-150]。申世安[43]研究发现重楼多糖(PPLP、PPRP)具有较强的抗氧化活性,其机制为调控抗氧化酶相关基因的表达,降低血清、心脏和肝脏等组织丙二醛的含量,增强总超氧化物歧化酶、过氧化氢酶和GSHPx等的活力;重楼多糖亦可提高衰老模型小鼠的CuZn-SOD、T-SOD、GSH-Px和过氧化氢酶活性,降低丙二醛、羟基自由基、超氧阴离子含量,对超氧根阴离子及羟基自由基的清除能力与维生素C处理无显著差异[141]。此外,研究表明滇重楼总黄酮亦对DPPH、羟基自由基和超氧阴离子具有较好的清除能力,活性与维生素C相当[151]。
Man等[152-153]研究发现滇重楼总皂苷可抑制肝脏纤维化;申世安[43]研究表明滇重楼中的多糖可降低小鼠肝脏丙二醛含量,提高T-SOD和GSH-Px活力,减小肝脏指数,抑制肝脏内脂质过氧化,具有肝脏保护作用。亦有研究表明,滇重楼中的薯蓣皂苷和偏诺皂苷,可调节应激状态下神经内分泌系统释放GC和儿茶酚胺,对微囊藻毒素致肾单位结构异常的小鼠肾脏具有保护作用[154]。
周满红等[155]研究发现滇重楼总皂苷可减轻多发性创伤模型大鼠急性肺损伤,具有保护大鼠肺的作用,其机制为下调血清中的TNF-α/IL-1β/IL-6水平;同时,滇重楼总皂苷还可改善骨质疏松大鼠股骨干骺端骨小梁的微结构特性,促进大鼠原代成骨细胞的增殖与分化,其机制为调节骨保护素/细胞核因子κB受体活化因子配基(OPG/RANKL)信号通路,增加OPG表达,降低RANKL的表达[156]。
此外,研究发现滇重楼提取物对消化器官也有较好的保护作用,如其水提液可抑制大鼠离体胃平滑肌收缩、兴奋大鼠离体小肠平滑肌收缩,对阿托品、乙酰胆碱诱导的离体胃肠运动具有双向调节作用;还具有调节胃痉挛和肠道功能紊乱、改善小肠黏膜屏障通透性,减轻肠黏膜功能障碍患者腹胀、腹泻、腹痛等症状[112,157-159]。
除上述药理作用外,滇重楼化学成分还具有其他药效。如影响血管生成方面,毕葳等[160]研究发现,重楼皂苷I、II的乙醇提取物可降低鸡胚绒毛尿囊膜的小血管数目,具有抑制血管生成的活性;胡静等[161]研究表明,重楼醇提物可抑制人脐静脉血管生成,其机制为抑制内皮细胞增生、迁移和管腔形成,诱导内皮细胞凋亡。此外,重楼皂苷可以作为癌蛋白的抑制剂,减弱其对蛋白磷酸酶的抑制作用,有助于缓解阿尔茨海默病的症状[162];还可抗肺动脉高压,机制为抑制内皮素诱导的细胞G0/G1期向S期、S期向G2/M期的转化,致使大鼠肺动脉平滑肌细胞增殖和迁移[163]。
滇重楼在临床上广泛应用。滇重楼复方用于治疗恶性肿瘤的实证和热证,如张文靖等[164]发现重楼配蜂房可明显改善胃癌术后复发不良反应症状,用于淋巴结核治疗效果明显;朱江春等[165]采用滇重楼散外敷联合抗结核药,用于浅表淋巴结结核治疗,发现可显著提高近期疗效,尤其是脓肿型、浸润型淋巴结结核疗效更显著。采用重楼软坚汤辅助放化治疗肺癌,可显著改善患者临床症状,消化道和肾功能损害不良反应发生率显著降低[166]。
在抗病毒方面,临床研究发现采用重楼解毒酊外涂治疗新生儿毒性红斑[167]以及肠道病毒引起的小儿手足口病皮疹[167],或与火针联合治疗多发性跖疣[168],疗效显著;62例临床观察发现,季德胜蛇药片能抗单纯疱疹病毒和水痘带状疱疹病毒效果良好;重楼膏外敷联合电针治疗带状疱疹疼痛,其止痛效果与安全性良好,其机制可能与提高T淋巴细胞表达相关[169]。
在镇痛方面,采用重楼解毒汤加味,口服及保留灌肠同时治疗早期肛周脓肿,发现可显著改善患者肛门疼痛,并改善C-反应蛋白(CRP)、PGE2、血浆纤维蛋白原调节水平,安全性良好[170];重楼浸液可改善化疗渗漏的疼痛和脓肿[171];外敷滇重楼巴布剂联合常规口服双氯芬酸钠缓释胶囊,在减轻关节疼痛、红肿方面,较单纯口服双氯芬酸钠缓释胶囊疗效明显,且未发现外敷可能产生的局部、全身不良反应[110]。
此外,采用重楼生化汤治疗剖宫产术后子宫复旧,发现可促进子宫切口I类愈合率,并改善血常规与血清CRP、TNF-α、IL-1β表达水平[172];毛丽华[173]采用自拟重楼汤联合消溃散治疗溃疡性结肠炎,发现可改善患者症状,同时降低患者血清TNF-α、IL-6的水平[173]。重楼制剂宫血宁胶囊可治疗多种原因引起的异常子宫出血,疗效明显[174]。
滇重楼作为我国历史悠久的传统中药,具有丰富的临床应用基础,其化学成分丰富,目前已从中发现了125种化学成分,含有皂苷类、黄酮类、五环三萜类、脂肪酸和多糖等成分,在生物活性方面,抗肿瘤、镇痛、抗炎等方面受到了广泛关注。
目前,对滇重楼的化学成分及药理作用及其机制方面的研究已取得一定进展,但滇重楼的研究仍然还存在一些问题,尤其是在抗肿瘤领域,虽然已开展了大量的研究,但多集中在体外实验上,尚缺乏基于系统生物学和整合药理学的相关研究,偏离了传统中医药的整体观和临床实践;其次,有关滇重楼及有效成分的体内代谢过程的药动学尚处于初级探索阶段,需要开展进一步的深入研究;此外,滇重楼有小毒,目前有关其毒理尚未见深入的相关报道,后续应深入研究其毒理,把控其药效与毒性之间的剂量关系,同时加强研究炮制减毒相关机制,增强临床用药的安全性。在今后的研究可结合临床实践,寻找针对疾病有治疗作用的先导化合物,为后期临床开发新药奠定基础,充分发掘滇重楼的药用价值。
利益冲突 所有作者均声明不存在利益冲突
参考文献(略)
来 源:王宇飞,江 媛,杨成金,王 婧,徐志超,刘颖琳,段宝忠.滇重楼化学成分、药理作用和临床应用研究进展 [J]. 中草药, 2022, 53(23):7633-7648.
2026-03-04 16:51:28
2026-03-04 16:49:12
2026-03-04 16:46:56
2026-03-04 16:44:42
2026-03-04 16:42:27
2026-03-04 16:40:13
2026-03-04 16:37:58
2026-03-04 16:35:44
2026-03-04 16:33:29
2026-03-03 21:14:16
2026-03-03 21:12:01
2026-03-03 21:09:47
2026-03-03 21:07:33
2026-03-03 21:05:19
2026-03-03 21:03:04
2026-03-03 21:00:50
2026-03-03 20:58:35
2026-03-03 20:56:21
2026-03-03 20:54:07
2026-03-03 20:51:52