呼格吉勒图案:侦查人员立功心切,担心人员问责和国家赔偿问题
2025-09-20 15:03:09
新疆理工学院:位于新疆阿克苏市,前身为新疆大学科学技术学院
本文素材来自网络,若与实际情况不相符或存在侵权行为,请联系删除。
我们先来说阿克苏,了解阿克苏之后,大家可能会更好去抉择是否报考新疆理工学院。
与新疆大部分地方一样,阿克苏既是一个地区名,也是一个城市名。阿克苏地区地处新疆维吾尔自治区中部,天山山脉中段南麓、塔里木盆地北缘,东邻巴音郭楞蒙古自治州,西接克孜勒苏柯尔克孜自治州,西南与喀什地区接壤,南与和田地区相望,北与伊犁哈萨克自治州毗邻,西北以天山山脉中梁与吉尔吉斯斯坦共和国、哈萨克斯坦共和国交界。总面积13.13万平方公里,占新疆面积的8%。全地区辖7县2市,89个乡镇。总人口272万(不含阿拉尔市)。由36个民族组成,是一个以维吾尔为主体的多民族聚居地区。

阿克苏市,维吾尔语意为“白水城”,地处南疆中部、塔克拉玛干大沙漠西北边缘、塔里木河上游,是阿克苏地区七县二市政治、经济、文化中心。总面积1.3584万平方公里(不含兵团),已建城区总面积153.59平方公里,耕地147.77万亩,由维、汉、回、哈等36多个民族组成,是一个多民族聚居地区;市辖3乡3镇、5个街道和6个片区管委会,共有112个行政村和59个社区。先后荣获“国家森林城市”“国家卫生城市”“中国优秀旅游城市”“全国双拥模范城市”“全国文明城市”提名资格等荣誉称号。
2023年,阿克苏地区实现地方生产总值1876.15亿元、增长6.3%;规模以上工业增加值增长6.5%;固定资产投资下降2.4%;社会消费品零售总额382.55亿元、增长18.3%;一般公共预算收入169.52亿元、增长12%;城乡居民人均可支配收入分别达到38998元、19083元,分别增长5.4%、8.9%。2023年阿克苏市实现地方生产总值(GDP)349.19亿元,同比增长5.1%。全市一般公共预算收入累计完成31.02亿元,同比增长8.0%。

据学校对外发布的新生攻略,阿克苏具有典型的暖温带大陆性干旱气候特征,降水稀少,蒸发量大,气候干燥,无霜期较长,昼夜温差较大。春季干旱多大风,伴有浮尘扬沙天气,萌新们可以备点口罩抵挡风沙。夏季气温高,日照时间长,降水少,有时会出现干旱的情况,紫外线强度相对较高,萌新们一定要多补水,做好防晒。秋季气温逐渐降低,天空晴朗,温度适宜,是该地区最宜人的季节。冬季则是最寒冷的时候,气温低,寒冷干燥,风沙天气频繁,雨雪天气较少。因此开学建议新生们以秋冬季衣物为主。

阿克苏地区拥有库车和阿克苏市2个民用机场,已开通阿克苏至北京、上海、杭州、成都、郑州的直航航班,每天有近20个航班往返乌鲁木齐及国内城市。阿克苏地区地处新疆南北疆交通要冲,是南疆重镇和交通枢纽,库阿高速贯通全境,217线独库公路连接南北疆,县、乡公路已基本柏油化,形成国道、省道和县、乡公路纵横交错的公路交通网络,兵团第一师所属的17个农垦团场分布在阿克苏地区境内。
阿克苏是东西方文明的交汇点和古代西域及古丝绸之路文化中心之一。“古丝绸之路”文化和民族文化,孕育了与西方和中原地区迥异的古代龟兹文明和多浪文化,其文化特征主要是以佛教石窟、壁画、音乐、舞蹈著称于世。库车王府、库车大峡谷、克孜尔千佛洞、温宿大峡谷、阿瓦提刀郎部落、天山神木园、托木尔峰等,都值得大家光顾。

好了,接下来我们回到主题,一起认识新疆理工学院。
根据学校网站,新疆理工学院是省属公办本科高校,前身为新疆大学科学技术学院。于2015年自乌鲁木齐市迁至阿克苏市办学。2019年,经教育部评估批准,转设为新疆理工学院。学校占地面积2848.41余亩,一次规划、多期建设,已建成41.74万平方米,校园环境优美,校在林中、湖在校中、人在园中,桃李芬芳,书香雅致。

目前,该校立足阿克苏、扎根南疆、面向全疆、放眼全国,重点围绕新疆尤其是南疆经济社会高质量发展,以工为主,理、工、经、管、文、法多学科交叉融通、协调发展。以本科教育为主,适时发展研究生教育,适度发展继续教育,奋力建设区域一流、理工特色鲜明的高水平应用型大学。坚持用胡杨精神育人,为兴疆固边服务,培养适应区域经济社会高质量发展需要,具有创新精神、实践能力和社会责任感的高素质应用型人才。
现有38个专业,涵盖理学、工学、经济学、管理学、文学、法学六个学科门类;2021年新增能源服务工程、机器人工程、食品卫生与营养学、商务英语4个专业;2022年新增储能科学与工程、材料化学、材料成型及控制工程和医学信息工程4个专业。

虽然以“理工”二字命名,但实际上该校本科专业主要还是以工学专业为主。据统计,在 38个本科专业中,理学2个专业,占比5.26%;工学23个专业,占比60.53%;经济学2个专业,占比5.26%;管理学4个专业,占比10.53%;文学5个专业,占比13.16%;法学2个专业,占比5.26%。本科专业设置一览表如下:

上述专业中,包括国家级、省级一流专业建设点6个。具体名单如下:

同时,该校还遴选出了一批校级特色本科专业建设点及一流本科专业建设点,名单如下:

知道专业建设现状之后,我们看一下近三年的录取情况:
据新疆理工学院2022—2023学年本科教学质量报告,该校本科生生源来自全国27个省(自治区、直辖市),新疆生源7814人(占全校51.39%),其中北疆4258人,南疆3556人,阿克苏地区生源学生1082人;其他省份生源学生7392人(占全校48.61%),以河北、河南、陕西及甘肃省学生为主,河北省1170人,占7.69%;河南省1020人,占6.71%;陕西省871人,占5.73%;甘肃省714人,占4.70%。新疆生源以喀什、伊犁哈萨克自治州、阿克苏地区为主,喀什地区生源1462人,占9.61%;伊犁哈萨克自治州生源1034人,占6.80%;阿克苏地区生源1082人,占7.12%。
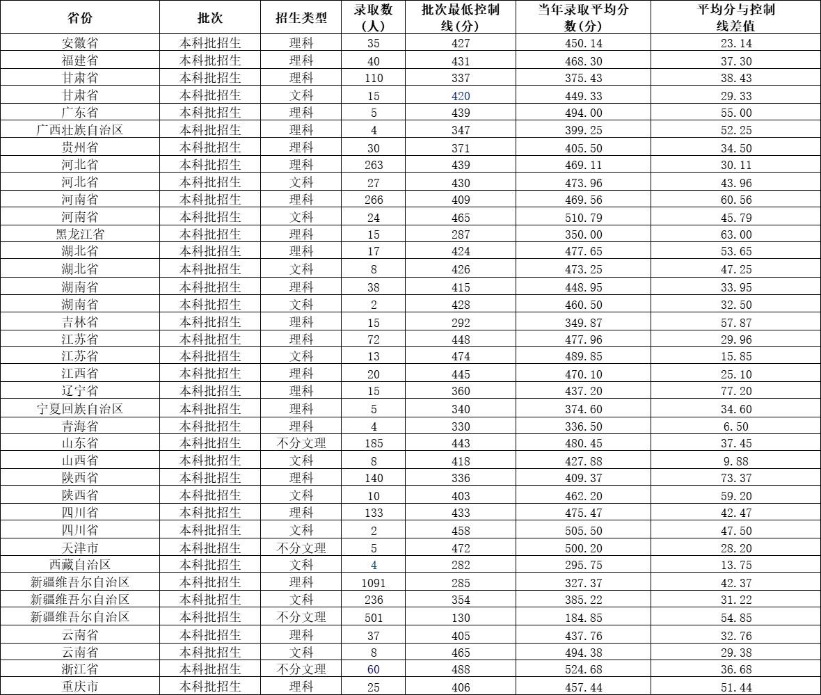
2023年,该校招生计划为3500人(含专升本501人),面向全国27个省(自治区、直辖市)招生,招生人数3488人(其中高中起点本科2987人,专科起点本科501人),完成招生计划99.66%,报到人数3349人(其中:新疆生源1716人,占51.24%,其他省份生源1633人,占48.76%。),报到率96.01%。录取最低分超过各省份二本线50分的有11个,在20分以上的有23个,生源质量显著提高。2023年生源情况一览表如下:

2022年,该校面向全国26个省(自治区、直辖市)招生,其中理科招生省份22个,文科招生省份20个,不区分文理科招生3个。计划招生5000人,实际录取考生5000人,实际报到4751人。实际录取率为100%,实际报到率为95.02%,招收本省学生2600人,招生批次为第二批次招生A。2022年生源情况一览表如下:

2021年,该校面向全国26个省(自治区、直辖市)招生,其中理科招生省份22个,文科招生省份20个,不区分文理科招生4个,招生批次为第二批次招生A。2021年招生中文科类6个省份当年录取最低分数超过最低控制线50分,理科类5个省份当年录取最低分数超过最低控制线50分,充分体现了我校生源质量稳步提升的态势。2021计划招生4170人,实际录取考生4159人,实际报到3924人。实际录取率为99.74%,实际报到率为94.35%。招收本省学生2109人。生源情况如下:

最后,我们简单看一下2023届本科毕业生毕业就业有关数据。
2023年本科毕业生总数为3087人,实际毕业2964人,毕业率为96.02%;授予学位数2916人,授予学位率为98.38%。2023届本科毕业生已落实就业去向2621人,初次就业去向落实率为88.43%。就业去向中,考研升学人数46人,占毕业生总数1.55%,考取新疆大学6人,湖南农业大学4人、浙江工业大学3人,考研升学数量与质量较往年有所提升。

2023届毕业生就业分布在全国31个省份,在新疆、陕西、河北就业学生较多,其中选择在新疆发展的1869人,占63.59%,为地方区域经济发展提供强有力的人才支撑。
就业去向中,通过签订就业协议或劳动合同等形式就业人数2391人,占毕业生总数81.99%,在各类企业就业人数2081人,占比71.36%。在行业选择方面,制造业、建筑业、批发和零售业、信息传输、软件和信息技术服务业以及电力、热力、燃气及水生产和供应业受学生青睐。制造业从业人数最多,为409人,占比14.03%;建筑业277人,占比9.50%。批发业和零售业265人,占比9.09%;24名学生将选调生、西部计划、三支一扶和参军入伍作为就业方向,占毕业生总数0.82%。
最后一点报考建议:是否要报考新疆理工学院,首先要考虑的是自己愿不愿意到阿克苏生活,然后才是专业、毕业和就业的问题。

特别说明:本文数据、图片及有关研判性表述素材,主要来自新疆理工学院2022—2023学年、2021—2022学年和2020—2021学年本科教学质量报告,以及该校网站、公众号等公开信息。
2025-09-20 15:03:09
2025-09-20 15:00:53
2025-09-20 14:58:37
2025-09-20 14:56:21
2025-09-20 14:54:06
2025-09-20 14:51:50
2025-09-20 14:49:34
2025-09-20 14:47:18
2025-09-20 14:45:03
2025-09-20 14:42:47
2025-09-20 14:40:31
2025-09-20 14:38:15
2025-09-20 14:35:59
2025-09-20 14:33:44
2025-09-20 14:31:28
2025-09-20 14:29:12
2025-09-20 14:26:57
2025-09-20 14:24:41
2025-09-20 14:22:25
2025-09-20 14:20:09